Artículo 6.4.1.1. De la operación repo sobre CDM. Para efectos de esta Circular, las operaciones de Reporto o Repo son aquellas en las que una parte (el “Enajenante”), transfiere la propiedad a la otra (el “Adquirente”) sobre valores susceptibles de ser negociados por conducto de la Bolsa, a cambio del pago de una suma de dinero (el “Monto Inicial”), en el Día de Cumplimiento Inicial, y en las que el Adquirente al mismo tiempo se compromete a transferir al Enajenante los Valores de la misma especie y características a cambio del pago de una suma de dinero (“Monto Final”) en la misma fecha o en una fecha posterior previamente acordada, denominada Día de Cumplimiento Final.
Parágrafo primero. La Bolsa actuará en las operaciones Repo en calidad de administrador del sistema de negociación, administrador del sistema de compensación y liquidación de operaciones, y administrador de las Garantías. La Bolsa no será contraparte en las operaciones Repo realizadas a través del sistema de negociación que administra.
Parágrafo segundo. El cumplimiento de las operaciones Repo se podrá anticipar conforme se dispone en el artículo 3.8.2.4.1. del Reglamento y en el Capítulo Tercero de la presente.
Parágrafo tercero. Para los efectos del presente Título se tendrán en cuenta las definiciones contenidas en el artículo 6.1.1.1.deesta Circular y en el artículo 3.8.1.1. del Reglamento.
Artículo 6.4.1.2. CDMs susceptibles de ser objeto de operaciones Repo. Serán susceptibles de ser negociados a través de operaciones Repo, los CDMs que cumplan las condiciones descritas en el artículo 3.8.2.1.2. del Reglamento.
Parágrafo. La tarifa de almacenamiento deberá encontrarse contenida de manera expresa en el respectivo CDM y el monto de este almacenamiento será pagado por el Enajenante durante la vigencia de la operación.
Artículo 6.4.1.3. Determinación de los CDMs susceptibles de ser objeto de operaciones Repo en razón a su subyacente. Para que los CDMs que representen determinado subyacente puedan ser negociados a través de operaciones Repo, se deberá atender al procedimiento y metodología establecidos en el artículo 3.8.2.1.3. del Reglamento.
De acuerdo con lo anterior, la sociedad comisionista miembro interesada elevará a la Bolsa una solicitud de autorización para que los CDMs que tengan determinado subyacente puedan ser negociados a través de operaciones Repo en el escenario de la Bolsa. Dicha solicitud se presentará a través del aplicativo establecido por la Bolsa mediante Instructivo Operativo y a la misma deberá adjuntarse la documentación e información requerida en la citada norma.
La Bolsa contará con un comité interno denominado Comité de Repos, que se encargará de adelantar el estudio a que hace referencia el artículo 3.8.2.1.3. del Reglamento y, en razón a los resultados del mismo, determinará los CDMs que serán susceptibles de ser objeto de operaciones Repo en razón a su subyacente.
El Comité de Repos establecerá igualmente el Indicador de Precio que se tendrá en cuenta respecto del subyacente, el haircut correspondiente y los cupos de negociación, en caso de que resulten procedentes. Debido a la configuración dinámica de dichos portafolios, las anteriores determinaciones del Comité de Repos se publicarán por medio de Boletín Informativo y en todos los casos la Bolsa informará a FINAGRO sobre las modificaciones en su conformación.
Una vez recibida la solicitud de estudio de determinado subyacente, la Bolsa contará con un término de veinte (20) días para atenderla, el cual será contado desde el momento en que sea recibida la totalidad de información y documentación requerida y relacionada a través de Instructivo Operativo. La determinación tomada en relación con la solicitud, sin importar el sentido de la misma, será informada al solicitante a través de comunicación escrita que se remitirá dentro de los dos (2) días siguientes a su adopción.
Parágrafo primero. El Comité de Repos contará con un reglamento interno en el cual se indicará la composición del órgano, sus funciones, la periodicidad de sus reuniones, la forma en que se documentarán sus decisiones y los demás aspectos relacionados con su funcionamiento.
Parágrafo segundo. El Comité de Repos podrá solicitar información adicional sobre aspectos relacionados con la comercialización y mercado del producto, así como cualquier otro aspecto que considere relevante para su análisis, exigir requisitos especiales respecto de las operaciones y/o requerir la publicación previa de las características particulares de la operación y/o del subyacente correspondiente.
Parágrafo tercero. El Comité de Repos, al momento de determinar los CDMs susceptibles de ser objeto de operaciones Repo en razón a su subyacente, podrá establecer límites por cliente enajenante, por activo representado en el CDM o por cualquier criterio que considere adecuado para la protección del mercado. Las disposiciones sobre los límites serán establecidas mediante Instructivo Operativo que será publicado a través de Boletín Normativo.
Parágrafo cuarto.- La sociedad comisionista enajenante tendrá la obligación de mantener información actualizada y disponible al público sobre los subyacentes de los CDMs respecto de los cuales realice operaciones Repo, de acuerdo a lo que se establezca mediante Instructivo Operativo.
Parágrafo quinto. En atención al subyacente respectivo, el Comité de Repos determinará el Haircut para cada uno de los CDMs que se puedan negociar a través de la Bolsa, de acuerdo con la metodología establecida en el artículo 3.8.2.2.2. del Reglamento.
Parágrafo sexto. Cuando se trate de activos que no cuenten con información suficiente con respecto al precio, liquidez, capacidad de comercialización y/o trayectoria en el mercado de la Bolsa, así como demás criterios que se determinen sobre el particular, la Bolsa podrá autorizar operaciones específicas sobre CDM, cuando se hayan cumplido con los requisitos adicionales que se establezcan para el efecto.
Parágrafo séptimo. Una vez al año la Bolsa a través de su Comité de Repos, hará seguimiento a los CDMs susceptibles de ser transados a través de operaciones Repo en razón a su subyacente y a los cupos de negociación por subyacente y/o cliente, cuando aplique, de acuerdo con la metodología relacionada en el numeral 2. del artículo 3.8.2.1.3. del Reglamento, así como a los Haircuts previstos en el artículo 3.8.2.2.2., también del Reglamento, conforme a la metodología que para el efecto consta en el citado artículo.
Con fundamento en los resultados y recomendaciones producto de tales estudios, se determinará, en caso de ser pertinente, si el CDM, en razón de su subyacente, puede seguir siendo negociado a través de operaciones Repo, y/o, de ser el caso, los ajustes correspondientes al indicador de precio, las calidades del subyacente o los cupos de negociación por subyacente y/o mandante, cuando aplique, así como a los Haircuts.
En el evento en que se determine que no podrá seguir negociándose a través de operaciones Repo, CDMs que representen determinado subyacente, o que podrán seguir negociándose teniendo en cuenta las nuevas calidades del subyacente, un nuevo Haircut, los ajustes al indicador de precio o en atención a cupos diferentes, la Bolsa expedirá el correspondiente Instructivo Operativo que dé cuenta de lo anterior, el cual será divulgado al mercado y al público en general a través de Boletín Normativo.
Parágrafo octavo. En todo caso, la Bolsa, atendiendo consideraciones de seguridad y/o liquidez, podrá negarse a autorizar operaciones Repo sobre determinados CDMs en razón a su subyacente, sin que ello afecte el cumplimiento de las operaciones Repo ya celebradas sobre CDMs de dicha especie.
Artículo 6.4.1.4. Autorización para la presentación de la postura de venta de un determinado CDM para realizar una operación Repo. La Bolsa autorizará la presentación de la postura de venta de un CDM en la rueda de negocios, para la celebración de cada una de las operaciones Repo sobre CDM que pretendan llevar a cabo las sociedades comisionistas miembros, conforme al procedimiento descrito en el artículo 3.8.2.2.4. del Reglamento, siempre y cuando tanto el CDM como el subyacente respectivo se encuentren inscritos en el SIBOL y se haya autorizado por parte de la Bolsa la negociación a través de operaciones Repo del CDM en razón a su subyacente.
La solicitud de autorización para la presentación de la postura de venta de un determinado CDM se realizará a través del formato contenido en el Anexo No. 25 de la presente Circular, y deberá ser entregada por lo menos con un (1) día hábil de anticipación a la fecha en la que se pretenda celebrar la operación Repo, a más tardar a las 12:00 m., junto con la documentación relacionada en el numeral 1) del artículo 3.8.2.2.4. del Reglamento.
No obstante, la Bolsa aceptará la radicación de manera extemporánea de los documentos a que se refiere el párrafo anterior, a más tardar hasta las 3:00 p.m. del día hábil anterior a la fecha en la que se pretenda celebrar la operación Repo, siempre que las Sociedades Comisionistas de Bolsa ingresen la información al SIG, incluyendo los soportes documentales de la operación Repo sobre CDM.
El potencial cliente Enajenante podrá manifestar su intención de que su identidad sea revelada por la Bolsa al momento de realizar la publicación a que hace referencia el parágrafo segundo del presente artículo. Para el efecto, a la solicitud de autorización para la presentación de la postura (Anexo No. 25) que remitirá la sociedad comisionista miembro a la Bolsa, deberá adjuntarse la autorización suscrita por el potencial cliente Enajenante para el levantamiento de la reserva bursátil sobre la información correspondiente a su identidad y a su intención de participar, a través de su sociedad comisionista miembro, en una operación Repo sobre CDM. La autorización para el levantamiento de la reserva bursátil deberá impartirse de manera escrita y en los términos del formato adjunto al Anexo No. 25 de la presente Circular.
La Bolsa podrá verificar que la sociedad comisionista miembro que pretenda actuar por cuenta del potencial cliente Enajenante, cuenta con la información del subyacente del CDM a disposición del mercado, de acuerdo con lo dispuesto en el parágrafo cuarto del artículo 6.4.1.3. de la presente Circular.
Autorizada la presentación de la postura de venta de un determinado CDM, la sociedad comisionista Enajenante podrá realizarla en la rueda de negocios, especificando la información relacionada en el artículo 3.8.2.2.7. del Reglamento y el artículo 6.4.1.10 de la presente Circular.
Parágrafo primero. La sociedad comisionista miembro que pretenda actuar por cuenta del cliente Enajenante, deberá verificar el contenido del CDM y la autenticidad de la firma del endoso en propiedad a la Bolsa, de conformidad con el artículo 648 del Código de Comercio y de acuerdo con los mecanismos idóneos que ésta establezca para el efecto, de manera previa a la entrega del título. Sin perjuicio de lo anterior, la Bolsa podrá implementar los mecanismos que considere pertinentes para revisar la autenticidad de las firmas contenidas en el endoso.
Con la finalidad de garantizar la transparencia del mercado, la Bolsa publicará el listado de los posibles CDMs que serán negociados, a más tardar a las 6:00 p.m. del día hábil anterior a la negociación de dichos títulos; lo anterior, través de la página web de la Bolsa. En caso de no existir CDMs o de no presentarse la postura de venta de un CDM para realizar una operación el día hábil siguiente, se le informará al mercado de dicha situación por el mismo medio.
La información que sea publicada de manera preliminar sobre los CDMs que puedan ser negociados tiene el carácter de informativa y no compromete en ningún sentido a la Bolsa, ni elimina la responsabilidad de la Sociedad Comisionista Miembro de su obligación de asesoría profesional, de acuerdo con lo establecido en el artículo 3.8.1.3. del Reglamento. En ese sentido, la información dada a conocer es susceptible de modificación, en razón al cumplimiento de los requisitos establecidos para este tipo de operaciones en el Reglamento, la Circular, Instructivos y demás normas concordantes.
Parágrafo segundo. Una vez haya verificado el cumplimiento de los requisitos a los que hace referencia el presente artículo, la Bolsa publicará en su página de Internet el listado de los CDM autorizados para su negociación, identificando, por lo menos, el número del macrotítulo, el AGD emisor y el subyacente. En el evento en que se haya adjuntado a la solicitud elevada a través del Anexo No. 25 de la presente Circular, la autorización suscrita por el potencial cliente Enajenante para el levantamiento de la reserva bursátil sobre la información correspondiente a su identidad y a su intención de participar en una operación Repo sobre CDM, la Bolsa publicará en su página de internet, además de la información mínima relacionada en el presente parágrafo, la identidad del potencial cliente Enajenante y su número de identificación.
Parágrafo tercero. Para las operaciones Repo sobre CDM que se pretendan garantizar con el FAG y cuyo tipo de subyacente sea negociado por primera vez en la Bolsa, se debe contar, además del estudio previo de mercado que realice la Bolsa, con el concepto favorable de FINAGRO en relación con la posibilidad de otorgar la Garantía FAG, conforme se dispone en el artículo 6.2.2.9.2. de la presente Circular.
FINAGRO tendrá la opción de abstenerse de garantizar operaciones Repo en forma previa a su realización, cuando considere que el subyacente del CDM negociado en la operación presenta deterioro significativo en sus condiciones de comercialización o cuando las condiciones de la operación se modifiquen.
La información requerida en el artículo 3.8.2.2.4. del Reglamento para autorizar la presentación de la postura de venta de un determinado CDM en una operación Repo, así como aquella relacionada en el artículo 6.2.2.9.2. de la presente Circular, deberá ser remitida a la Bolsa dentro del término previsto en la última de las normas en cita.
Artículo 6.4.1.5. Trasferencia del CDM. Según se dispone en el numeral 1) del artículo 3.8.2.2.4. del Reglamento, para solicitar la autorización para la presentación de la postura de venta de determinado CDM para realizar una operación Repo, la sociedad comisionista que pretenda actuar por cuenta del potencial cliente Enajenante deberá entregar a la Bolsa el CDM que se pretenda negociar, debidamente endosado en propiedad a la Bolsa de conformidad con lo previsto en el artículo 648 del Código de Comercio.
Con la celebración de una operación Repo sobre determinado CDM, la punta Enajenante acepta y dispone que la propiedad del CDM se radique en cabeza de quien determine la Bolsa en su condición de administrador del sistema de negociación, con la finalidad de garantizar a través de este mecanismo el cumplimiento de sus obligaciones. La transferencia de la propiedad se regirá para todos los efectos por las normas aplicables, en particular las contenidas en la ley 964 de 2005 y en el Decreto 2555 de 2010, por lo que el respectivo CDM quedará inmovilizado hasta que se cumpla con el pago del Monto Final.
Una vez los CDMs son negociados, la Dirección de Operaciones, a más tardar el día hábil siguiente, enviará al Almacén General de Depósito emisor, una comunicación en la que solicita sea registrado el endoso en propiedad del CDM correspondiente.
Los Almacenes Generales de Depósito entregarán a la Bolsa un listado de las personas que estén autorizadas para firmar los CDMs en nombre del AGD, en el que aparezcan sus firmas, efecto para el cual utilizarán el formato contenido en el Anexo No. 26 de la presente Circular. De manera anual, los Almacenes Generales de Depósito deberán actualizar el listado de firmas registradas en la Bolsa, sin perjuicio de informar inmediatamente cualquier cambio que se presente.
Artículo 6.4.1.6. Suspensión de la negociación de CDMs a través de operaciones Repo. El Presidente de la Bolsa suspenderá la negociación de CDMs a través de operaciones Repo en los casos descritos en el artículo 3.8.2.1.4. del Reglamento.
El Presidente de la Bolsa podrá suspender la negociación de CDMs a través de operaciones Repo cuando se presenten variaciones diarias del 50% en el Indicador del Precio del subyacente.
Artículo 6.4.1.7. Deber de asesoría. De acuerdo con el numeral 4º del artículo 3.8.1.3. del Reglamento, las sociedades comisionistas miembros deberán asesorar profesional, debida, íntegra y oportunamente a sus clientes, en relación con todos los riesgos asociados a las operaciones a celebrarse a través del Mercado de Instrumentos Financieros de la Bolsa, dentro del cual se desarrollan las operaciones Repo sobre CDM.
Se entiende por asesoría profesional el brindar recomendaciones individualizadas que incluyan una explicación previa acerca de los elementos relevantes del tipo de operación, con el fin de que el cliente tome decisiones informadas, atendiendo al perfil de riesgo particular que la sociedad comisionista miembro le haya asignado, de acuerdo con la información suministrada por el cliente sobre sus conocimientos y experiencia en el ámbito de inversión correspondiente al tipo de operación a realizar.
El deber de asesoría deberá ser cumplido por conducto de un profesional debidamente certificado para este fin, quien estará vinculado laboralmente a la sociedad comisionista miembro.
Parágrafo primero. La sociedad comisionista miembro que pretenda actuar por cuenta del potencial cliente Adquirente deberá realizar el estudio del Activo representado por el título que pretende adquirir a través de la operación Repo, con el objeto de contar con la información suficiente para cumplir con el deber de asesoría frente a su cliente inversionista, en su calidad de intermediario del mercado.
Parágrafo segundo. La sociedad comisionista que pretenda actuar por cuenta del potencial cliente Adquirente, deberá informar a su cliente sobre los riesgos a los que está expuesto al participar en una Operación Repo sobre CDM, de lo cual deberá dejar constancia en los documentos que suscriba con éste de manera previa a la celebración de la negociación.
Parágrafo tercero. La sociedad comisionista que realice operaciones Repo sobre CDMs por cuenta de sus clientes, tendrá la obligación de mantener información disponible y actualizada sobre tales operaciones, de acuerdo a lo que se establezca mediante Instructivo Operativo.
Artículo 6.4.1.8. Divulgación del Indicador de Precio. El Indicador de Precio, entendido como el precio, índice o fórmula de precio, seleccionado por la Bolsa para estimar el valor del subyacente del CDM, determinado por la Bolsa, agremiaciones especializadas o los AGD, según dispone el artículo 6.1.1.2. del Reglamento, se publicará diariamente a través del Boletín Diario, para cada producto inscrito y para cada una de las localidades elegidas como marcadoras de precio, lo cual se hará teniendo en cuenta como parámetros los mínimos exigidos de calidad y las tipificaciones que para cada caso hubiere establecido la Bolsa.
Artículo 6.4.1.9. Certificados de Custodia. Luego de celebrada la operación Repo, la Bolsa expedirá el respectivo certificado de custodia del CDM endosado, el cual estará a disposición y podrá ser descargado del aplicativo SIG- Sistema de Información de Garantías por parte de la(s) sociedad(es) comisionista(s) Adquirente(s) el día hábil siguiente al Día del Cumplimiento Inicial de la operación en el horario de 10:00 a.m. a 12:00 m.
Para todos los efectos, se entenderá que el certificado de custodia es una constancia sobre la transacción realizada junto con el detalle del título que se encuentra en custodia de la Bolsa, por lo que no tendrá la calidad de título valor, valor o cualquier tipo de instrumento negociable al interior del escenario de la Bolsa o fuera de éste.
Parágrafo. En el evento que la operación Repo sobre CDM sea celebrada con garantía FAG, el certificado de custodia que expida la Bolsa deberá contener la indicación de que cuenta con este tipo de garantía.
Artículo 6.4.1.10. Posturas. Las posturas para la realización de operaciones Repo sobre CDM serán ingresadas al Sistema de Negociación, conforme lo dispuesto en la Sección Cuarta del Capítulo Segundo del Título Primero del Libro Tercero de la presente Circular.
Parágrafo primero. Se podrán presentar posturas parciales por parte de las sociedades comisionistas que pretendan actuar como Adquirentes en la operación Repo sobre CDM, por lo que será posible que la punta Adquirente esté conformada por varias sociedades comisionistas que actúen por cuenta de sus respectivos clientes y/o por una sociedad comisionista que actúe por cuenta de varios clientes.
Parágrafo segundo. En caso de que se presente una liquidación anticipada, en los términos señalados en los literales a) y b) del artículo 3.8.2.4.1. del Reglamento y en el artículo 6.4.3.3 de la presente Circular, con respecto a una o más sociedades comisionistas que conformen una punta Adquirente, el Enajenante podrá presentar nuevamente una postura de venta parcial en relación con el porcentaje de la operación que se liquidó anticipadamente.
Para efectos de lo anterior, se calculará el valor del CDM, con el fin de establecer el valor disponible a ser negociado; así mismo, la fecha pactada para el pago del Monto Final no podrá ser superior a los catorce (14) días calendario a la fecha de vencimiento del respectivo CDM, de acuerdo con lo señalado en el literal a) del artículo 6.4.1.13 de la presente Circular.
Artículo 6.4.1.11. Monto Inicial de la operación Repo. El monto inicial, conforme se dispone en el artículo 3.8.2.2.1. del Reglamento, será el resultante de aplicar el Haircut del subyacente correspondiente al Valor Primario del respectivo CDM. Se entenderá por Valor Primario del CDM lo descrito en el literal p. del artículo 3.8.1.1. del Reglamento.
Artículo 6.4.1.12. Monto Final de la operación Repo. El Monto Final de la operación Repo, según lo establece el literal k) del artículo 3.8.1.1. del Reglamento, es la suma monetaria que deberá pagar el Enajenante a cambio de que le sea transferido de regreso el CDM objeto de la operación Repo. El Monto Final de la operación Repo resulta de aplicar al Monto Inicial de la operación Repo la tasa efectiva anual pactada en la rueda.
Artículo 6.4.1.13. Plazo para la recompra del CDM y pago del Monto Final. Sin perjuicio de la facultad establecida en el parágrafo del presente artículo, las partes podrán pactar libremente el plazo para el pago del Monto Final sin que este pueda superar un (1) año calendario a partir de la celebración de la respectiva operación, siempre y cuando cumpla con las siguientes condiciones:
Parágrafo primero. En todo caso, el Comité de Repos podrá establecer que sólo se aceptará la celebración de operaciones Repo sobre CDM con plazos o vencimientos estandarizados para determinados subyacentes, en consideración a la naturaleza de los mismos. En estos casos, la Bolsa informará al mercado mediante Boletín sobre los plazos o vencimientos estándares establecidos de acuerdo con el subyacente.
Parágrafo segundo. El cumplimiento de las obligaciones de giro de recursos que se desprendan de la operación Repo, se realizará a través de transferencias electrónicas, salvo que las mismas no resulten posibles debido a inconvenientes que presenten las correspondientes entidades bancarias, situación en la cual, de manera excepcional se realiza lo indicado en el parágrafo primero del artículo 6.2.1.2. de la presente Circular.
Artículo 6.4.1.14. Gestiones ante los Almacenes Generales de Depósito. Para el desarrollo de las operaciones Repo sobre CDM a través del Mercado de Instrumentos Financieros, la Bolsa solicitará a los Almacenes Generales de Depósito cuyos CDMs se encuentren inscritos en el SIBOL, realizar las siguientes gestiones en la oportunidad que corresponda:
Parágrafo primero. Las facultades que la Bolsa tiene frente a los AGD surgen de la vinculación que se establece en virtud de la solicitud de inscripción de CDMs en el SIBOL que formulen estos últimos, de conformidad con lo previsto en el artículo 1.4.2.4.1 del Reglamento.
Parágrafo segundo. Sin perjuicio de lo establecido en el presente artículo, el Enajenante tiene la obligación de cumplir oportunamente con los pagos exigidos por el AGD, tales como los costos de almacenamiento. Por lo anterior, la sociedad comisionista Enajenante deberá establecer los mecanismos que correspondan con sus clientes, para efectos de dar cumplimiento a lo dispuesto en este parágrafo.
Artículo 6.4.1.15. Prórroga del vencimiento de los CDM. Cuando se requiera la prórroga de un título que se encuentre en custodia de la Bolsa, la sociedad comisionista Enajenante interesada deberá solicitarla mediante el envío de una comunicación escrita a la Dirección Operaciones de la Bolsa, por lo menos con seis (6) días hábiles de anticipación al Día de Cumplimiento Final de la operación Repo correspondiente. Una vez presentado este documento, la Bolsa dirigirá al Almacén General de Depósito emisor una comunicación en el mismo sentido.
Parágrafo primero. Al requerirse una tercera prórroga, la sociedad comisionista Enajenante deberá solicitar autorización a la Dirección de Operaciones con una antelación mínima de veinte (20) días hábiles al Día de Cumplimiento Final de la operación Repo. Los costos en los que incurra la Bolsa en las verificaciones y estudios que considere pertinentes deberán ser asumidos por la sociedad comisionista Enajenante.
En todo caso, la Bolsa podrá requerir a la sociedad comisionista Enajenante para que le remita información adicional sobre el sustento de la prórroga, en relación con el subyacente, el cliente y/u otros factores relacionados con la operación.
Parágrafo segundo. En caso de que el cliente Enajenante, a través de la sociedad comisionista miembro que actúa por su cuenta, solicite una prórroga a la Bolsa sobre una operación inicialmente vigente con garantía FAG, entendiéndose como prórroga la realización de una nueva operación REPO respaldada sobre el mismo CDM. La Bolsa deberá informar a FINAGRO de dicha solicitud, máximo con un (1) día hábil antes del cumplimiento de la operación inicialmente respaldada con el CDM. Para tal propósito la Bolsa remitirá un correo electrónico a la Dirección de Garantías de FINAGRO que luego ratificará mediante comunicación física en la cual manifiesta que se generó y aprobó por la Bolsa la solicitud de autorización de la nueva operación.
La nueva operación respaldada con el mismo CDM que garantiza una operación previa, podrá ser preaprobada por FINAGRO para que ésta pueda contar con garantía FAG el mismo día del vencimiento de la operación inicial. Por tanto ese día, la Bolsa deberá solicitar la cancelación de la operación inicialmente respaldada y simultáneamente solicitar la expedición de un nuevo certificado de garantía con el mismo título subyacente.
Artículo 6.4.2.1. Garantías Admisibles en las operaciones Repo sobre CDM. Se considerarán como activos susceptibles de ser Garantías Admisibles en las operaciones Repo sobre CDMs, aquellas previstas en el artículo 6.4.2.1. del Reglamento.
Artículo 6.4.2.2. Tipos de garantías. En operaciones Repo sobre CDM se constituirá en todos los casos una Garantía Inicial, conforme lo dispone el artículo 6.4.2.2. del Reglamento y, si resulta necesario, Garantías Adicionales que atenderán a las normas contenidas en el artículo 6.4.2.4. de la citada compilación.
Artículo 6.4.2.3. Llamado al margen. El llamado al margen, entendido como el mecanismo a través del cual la Bolsa solicita la constitución de Garantías Adicionales, se realizará conforme al procedimiento y a la metodología que se dispone en el artículo 6.4.2.4. del Reglamento.
La Bolsa realizará el llamado al margen a la sociedad comisionista Enajenante a través de comunicación escrita dirigida por la Dirección de Operaciones a más tardar el día hábil siguiente al defecto en las Garantías.
La Bolsa podrá llamar al margen a la sociedad comisionista Enajenante sin perjuicio de que el Indicador de Precio del Subyacente del CDM se encuentre por encima del Precio de Sostenimiento correspondiente, cuando existan factores de riesgo adicionales que puedan implicar la insuficiencia en el valor de las Garantías, tales como el no pago de costos de almacenamiento y los relacionados con el mantenimiento de las Garantías. En estos casos, el llamado al margen se realizará en cuantía correspondiente a la que se estime conveniente y con base en el estudio que realice la Bolsa en relación con la exposición al riesgo de la posición.
La sociedad comisionista Enajenante deberá atender los llamados al margen que formule la Bolsa a más tardar a las 5:00 p.m. del segundo (2º) día hábil posterior a la solicitud elevada por la Bolsa, sin perjuicio de que esta última pueda ampliar el término dadas las condiciones particulares de la operación respectiva, mediante el aporte de activos considerados como Garantías Admisibles de acuerdo con el artículo 6.4.2.1. de la presente Circular, sin perjuicio de que la Bolsa pueda ampliar dicho plazo cuando se presenten circunstancias que así lo ameriten.
Parágrafo. Para determinar el Índice de Precio Ajustado (IPA), necesario para determinar la cuantía del llamado al margen, se tendrá en cuenta la volatilidad del subyacente para un intervalo de tiempo de un (1) mes.
Artículo 6.4.2.4. Suspensión o cancelación de la inscripción en el SIBOL o en el RNVE de los Valores entregados en garantía para la celebración de operaciones Repo. En caso de que se dé la suspensión o cancelación de la inscripción en el SIBOL o en el RNVE de los Valores entregados en garantía para la celebración de operaciones Repo, se procederá conforme con las reglas contenidas en el artículo 6.4.2.5. del Reglamento.
La Bolsa solicitará a la sociedad comisionista Enajenante la sustitución de garantías a través de comunicación escrita y está última deberá realizar la sustitución a más tardar a los dos (2) días de realizada la solicitud, sin perjuicio de que la Bolsa pueda ampliar el término dadas las condiciones particulares de la operación respectiva.
Artículo 6.4.2.5. Liberación de Garantías. Según se establece en el artículo 6.4.2.6. del Reglamento, la liberación de Garantías constituidas en el marco de operaciones Repo sobre CDM, se llevará a cabo una vez se cumpla la operación correspondiente, previa solicitud de la sociedad comisionista Enajenante.
Tratándose de Garantías Adicionales, las mismas podrán ser liberadas total o parcialmente con anterioridad al cumplimiento de la operación Repo, siempre y cuando el Indicador de Precio del subyacente del CDM iguale o se ubique por encima del Precio de Sostenimiento correspondiente y no existan otros factores de riesgo que generen una insuficiencia en el valor de las Garantías. En este caso la liberación se realizará en la porción correspondiente.
La Bolsa contará con cinco (5) días desde el recibo de la solicitud por parte de la sociedad comisionista Enajenante para proceder a liberar las Garantías.
La Garantía FAG será cancelada conforme se indica en el artículo 6.2.2.9.9. de la presente Circular.
Artículo 6.4.2.6. Procedimiento para la liberación de Garantías. Para ejecutar la liberación de las Garantías por cumplimiento de la operación Repo, la sociedad comisionista Enajenante deberá solicitarla a la Bolsa, dentro de los cinco (5) días hábiles siguientes al Día de Cumplimiento Final.
Las instrucciones correspondientes a la aplicación y distribución de recursos deben ser debidamente diligenciadas, totalizadas y remitidas a la Bolsa en los horarios establecidos y en todo caso con anterioridad a las 3:00 p.m.
De conformidad con lo previsto en el inciso tercero del artículo 6.4.1.11. del Reglamento, en caso de liberación parcial, la misma se realizará teniendo en cuenta la liquidez de la Garantías, de las más líquidas a las menos líquidas.
Parágrafo. En el caso de operaciones cruzadas, de no haber comunicación de incumplimiento por parte de la sociedad comisionista Enajenante en el Día de Cumplimiento Final, hasta las 3:00 p.m.,se entenderá cumplida la misma y por consiguiente la Bolsa procederá a efectuar la respectiva liberación de las Garantías.
Artículo 6.4.2.7. Liberación y devolución del CDM. Ante el pleno cumplimiento de la operación Repo, por regla general, la Bolsa procederá a endosar el CDM a favor del cliente Enajenante. En caso de que la sociedad comisionista Enajenante informe a la Bolsa, a más tardar a las 3:00 p.m. del Día del Cumplimiento Final que su cliente no le proveyó los recursos para el cumplimiento de la obligación de recompra y que la operación será cumplida con recursos propios de la citada entidad, la Bolsa podrá endosar el CDM a favor de la sociedad comisionista Enajenante, previa solicitud de ésta última.
En caso de que se requiera realizar el endoso a favor de persona diferente a la sociedad comisionista Enajenante o el cliente Enajenante, la sociedad comisionista Enajenante deberá realizar la solicitud formal a la Bolsa, incluyendo la autorización expresa y suscrita por el cliente Enajenante, en donde se especifiqué la información correspondiente al tercero.
El CDM original, el bono de prenda anulado, el pagaré y la carta de instrucciones, según corresponda, quedarán a disposición de las sociedades comisionistas en las instalaciones de la Bolsa, por lo que será de su responsabilidad solicitar su entrega.
En los casos en que, pasados cinco (5) días hábiles a partir del Día de Cumplimiento Final, la sociedad comisionista Enajenante no haya manifestado la identidad de la persona a la cual se debe realizar el endoso o no haya solicitado los documentos a los que se hace referencia en el inciso anterior, la Bolsa podrá endosar el CDM a favor del cliente Enajenante.
Parágrafo. En los eventos en que una sociedad comisionista Enajenante haya honrado la obligación de recompra de un CDM con sus propios recursos, como consecuencia de que su cliente Enajenante no haya proveído los recursos necesarios para tal fin, la Bolsa dará aviso inmediato de esta circunstancia a la Superintendencia Financiera de Colombia y al Área de Seguimiento con el fin de que estos órganos adelanten con oportunidad las actividades de supervisión que correspondan y se surtan los efectos a que haya lugar.
Artículo 6.4.3.1. De la liquidación o recompra anticipada. Se podrá liquidar anticipadamente una operación Repo sobre CDM en los eventos previstos en el artículo 3.8.2.4.1. del Reglamento.
La liquidación anticipada solo será posible después de 30 días calendario del Día de Cumplimiento Inicial, tratándose de las causales contempladas en los literales a) y b) del artículo 3.8.2.4.1. del Reglamento.
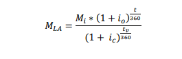
Artículo 6.4.3.2. Cálculo del valor de la liquidación anticipada. En caso de presentarse la liquidación anticipada de la operación Repo, en lugar del Monto Final pactado inicialmente deberá tenerse en cuenta el monto que resulte del recálculo que se lleve a cabo a partir de la aplicación de la siguiente fórmula:

Donde:
MLA = Monto de la liquidación anticipada
Mi = Monto Inicial
io = Tasa de la operación Repo (tasa de tablero)
t = Días transcurridos entre el día del Cumplimiento Inicial y el día de Cumplimiento Final
tv = Días al vencimiento
ic = Tasa con costos
Tasa con costos para el Adquiriente (se utiliza cuando la solicitud es realizada por el Enajenante):

Tasa con costos para el Enajenante (se utiliza cuando la solicitud es realizada por el Adquirente):

Donde:
Mf = Monto Final
Mi = Monto Inicial
Costos = corresponde a los costos de compensación y liquidación en razón a la duración de la operación junto con los costos de registro de bolsa, comisión y los respectivos impuestos que le apliquen.
Parágrafo primero. - Cuando el Enajenante solicite unilateralmente la liquidación anticipada de la operación Repo, según lo dispuesto en el literal d) del artículo 3.8.2.4.1. del Reglamento, deberá entregar el Monto Final sin importar el momento de la operación en que realice la solicitud.
Parágrafo segundo. - Para la liquidación de Costos referidos en la fórmula previamente expuesta, se podrá incluir la diferencia resultante entre la liquidación para el momento de la negociación y la fecha en que se realiza la recompra, usando en ambos casos, la formula referida en el artículo 1.7.5.2.1 de la presente Circular.
Artículo 6.4.3.3. Solicitud del Adquirente para liquidar anticipadamente una operación Repo. Cuando las partes contratantes lo hubieren estipulado en la negociación o en el transcurso de una negociación, el Adquiriente podrá solicitar la liquidación anticipada de una operación Repo. Cuando esta solicitud se de en el transcurso de una negociación, el adquirente deberá contar siempre con un acuerdo firmado entre éste y el Enajenante e informar a la Bolsa por lo menos con un (1) día hábil de antelación a la fecha en que se realizará la liquidación anticipada y suministrar el anexo 27 – “Formato de liquidación anticipada de operaciones Repo” de la presente Circular, debidamente diligenciado.
En todo caso, la liquidación anticipada en las dos situaciones referenciadas en este artículo, es decir, cuando las partes contratantes lo hubieren estipulado en la negociación o en el transcurso de una negociación, solo será posible después de 30 días calendario del Día de Cumplimiento Inicial. Lo anterior, de conformidad con lo señalado en los literales a) y b) del artículo 3.8.2.4.1. del Reglamento y el artículo 6.4.3.1 de la presente Circular Única.
Parágrafo primero. Para realizar el cálculo del valor de la liquidación anticipada deberá seguirse la fórmula dispuesta en el artículo 6.4.3.2 de está Circular Única.
Parágrafo segundo. En línea con lo señalado por el artículo 6.4.2.6 del Reglamento y el artículo 6.4.2.5 de la presente Circular Única, las Garantías Adicionales podrán ser liberadas parcialmente con anterioridad al cumplimiento de la operación Repo, siempre y cuando el Indicador de Precio del subyacente del CDM iguale o se ubique por encima del Precio de Sostenimiento correspondiente y/o no existan otros factores de riesgo que generen una insuficiencia en el valor de las garantías. En este caso la liberación se realizará en la porción correspondiente. Esta liberación parcial se podrá realizar siempre y cuando el Enajenante no haya puesto una nueva postura de venta parcial sobre el porcentaje que fue liquidado anticipadamente en los términos señalados en el Parágrafo segundo del artículo 6.4.1.10 de la presente Circular.
Para efectuar la liberación de garantías deberá adelantarse el procedimiento señalado en el artículo 6.4.3.2 de está Circular Única.
Artículo 6.4.4.1.- Incumplimiento de las operaciones Repo sobre CDM. Para los efectos de la presente Circular son causales de incumplimiento de las operaciones Repo las consignadas en el artículo 3.8.2.5.1. del Reglamento.
Artículo 6.4.4.2.- Procedimiento en caso de incumplimiento de las operaciones Repo sobre CDM. En relación con el incumplimiento de las operaciones Repo sobre CDM se procederá de la siguiente forma:
Parágrafo primero.- El procedimiento descrito en el presente artículo se aplicará también en los casos en los que se presente incumplimiento por parte del Enajenante en la constitución de la Garantía Adicional, como consecuencia del llamado al margen, o en su caso, de la Garantía Extraordinaria.
Parágrafo segundo. - En los eventos de declaratoria de incumplimiento de la operación Repo con ocasión de la inobservancia del deber de complementación de las operaciones, teniendo en cuenta que de acuerdo con lo previsto en el artículo 6.2.2.5. del Reglamento, tal procedimiento es un requisito para la aceptación de la operación para su compensación y liquidación a través de la Bolsa, ésta procederá a declarar el incumplimiento y, en virtud del mismo, pondrá a disposición de cada una de las partes los valores y el efectivo que hayan sido aportados con ocasión de la operación.
Parágrafo tercero.- Conforme se dispone en el artículo 6.4.1.10. del Reglamento, la Bolsa hará efectivas las Garantías dependiendo de su liquidez, de las más líquidas a las menos líquidas. De acuerdo con lo anterior, cuando en una operación Repo se hayan constituido garantías en efectivo, en primera medida se afectarán dichas garantías, entregándolas a la parte cumplida.
Parágrafo cuarto.- En los casos en que con ocasión del incumplimiento se proceda a la venta del subyacente del CDM, la Bolsa estimará su precio de acuerdo con lo señalado en el artículo 6.4.4.3. de la presente Circular. Sin perjuicio de lo anterior, la Bolsa no será responsable en caso de que el precio de liquidación del subyacente no coincida con la estimación que efectúe.
Parágrafo quinto.- En el caso de operaciones Repo con Garantía FAG, si aplicado el procedimiento descrito en el presente artículo, continúan pendientes de cumplimiento obligaciones a cargo del Enajenante, la Bolsa deberá informar a FINAGRO de tal circunstancia, dentro de los cinco (5) días hábiles siguientes a la fecha en que el mismo se concluya, a efecto de hacer efectiva la Garantía FAG respecto del saldo no pagado.
Para tal propósito, la Bolsa remitirá un correo electrónico a la Dirección de Garantías de FINAGRO que luego ratificará mediante comunicación física en la cual manifieste que se ha decretado el incumplimiento de la operación Repo, la descripción del negocio, el nombre de la sociedad comisionista Enajenante, el cliente Enajenante a quien se le expidió el certificado de garantía, el número de certificado del que se derivó el incumplimiento y el monto de las obligaciones aseguradas pendientes del cumplimiento después de la ejecución de la Garantía Inicial, las Adicionales y/o las Extraordinarias, de ser el caso.
De igual forma, la Dirección de Operaciones de la Bolsa determinará el porcentaje de tales obligaciones que corresponde al valor de los costos asociados a la operación, tales como intereses y costos de almacenamiento.
El FAG procederá al pago de la garantía al sexto (6) día hábil siguiente a la notificación realizada por la Bolsa, de acuerdo al porcentaje de cobertura y al resultado de la liquidación del CDM, para lo cual girará los recursos a la Dirección de Operaciones de la Bolsa mediante transferencia electrónica o cheque, en caso excepcional, a la cuenta que le indique la BMC, previa remisión por parte de la Bolsa de los siguientes documentos:
- Solicitud de pago de la garantía, y;
- Copia de la declaratoria de incumplimiento de la operación emitida por la Bolsa.
- Pagaré original suscrito por el cliente vendedor, debidamente autenticado ante Notario
Si concluido el procedimiento previsto en el presente artículo, existieran saldos por ejecutar del subyacente del CDM o de cualquier otra garantía constituida en relación con ella, los mismos serán puestos a disposición de FINAGRO como mecanismo de recuperación a favor del FAG, en la parte que corresponda, en atención al pago que se haya realizado en virtud de la Garantía FAG.
Parágrafo sexto.- El incumplimiento generará intereses de mora a favor del Adquirente y a cargo del Enajenante, desde el Día del Cumplimiento Final de la operación y hasta: (i) la fecha efectiva en la que se reciban los recursos de la venta del subyacente del CDM con ocasión del incumplimiento, cuando sea aplicable dicho procedimiento; (ii) la fecha de entrega del CDM al Adquirente cuando no proceda la venta o la misma no resulte exitosa; y (iii) la fecha en la que se cubra el remanente por parte del Enajenante, cuando existan saldos pendientes de pago, luego de ejecutado el procedimiento de incumplimiento descrito en el presente artículo.
La Garantía FAG en ningún caso cubrirá montos de dinero correspondientes a los intereses de que trata el presente parágrafo.
Parágrafo séptimo.- Los costos que se generen por el fraccionamiento del CDM en caso de ser necesario, así como cualquier saldo que exista por concepto del depósito con el AGD correspondiente, serán cobrados al Enajenante incumplido.
Parágrafo octavo.- En caso de que haya varios Adquirentes y por causa del procedimiento operativo del fraccionamiento y del endoso del CDM no se pueda hacer entrega del título dentro de los cinco (5) días hábiles siguientes a la fecha del incumplimiento, la Bolsa entregará a los Adquirentes la certificación sobre la solicitud realizada al AGD para llevar a cabo dicho proceso, acto con el cual se entenderá que se está dando cumplimiento a lo descrito en el numeral 2.2 del artículo 6.4.4.2. de la presente Circular. Una vez la Bolsa reciba los CDMs por parte del AGD, procederá a entregarlos a los respectivos Adquirentes.
Parágrafo noveno.- La Bolsa informará a la Superintendencia Financiera de Colombia sobre el incumplimiento de las obligaciones a cargo de las sociedades comisionistas miembros en el marco de las operaciones Repo y dará traslado a su Área de Seguimiento.
Parágrafo décimo.- Es obligación de la sociedad comisionista Enajenante establecer todos los controles de riesgo que considere necesarios, así como la exigencia de Garantías y demás seguridades a su cliente, conforme lo estime necesario, con el fin de cubrir posibles diferenciales a favor del Adquirente, derivados de la ejecución del proceso de incumplimiento.
Parágrafo decimoprimero.- La sociedad comisionista Adquirente, por instrucción de su cliente y con anterioridad al incumplimiento de la operación Repo sobre CDM, podrá instruir de manera irrevocable a la Bolsa, como administradora del Sistema de Compensación y Liquidación de operaciones, para que, en caso de que el Enajenante incumpla su obligación de pagar el Monto Final, el subyacente del CDM objeto de la operación sea vendido en el escenario de negociación de la Bolsa y, de no ser posible la venta, el CDM en cuestión sea endosado a favor de persona diferente al cliente Adquirente, que deberá ser una entidad vigilada por la Superintendencia Financiera de Colombia, efecto para el cual deberá diligenciarse el Anexo No. 49 de la presente Circular y remitirse a la Bolsa junto con la siguiente documentación:
La Orden Irrevocable, como su denominación lo indica, será vinculante e irrevocable; en consecuencia, la Bolsa no atenderá instrucciones que contravengan dicha orden, a menos que se remita autorización expresa y por escrito del Beneficiario de la misma.
Las obligaciones de la Bolsa respecto del cumplimiento de las Órdenes Irrevocables se limitan a proveer la infraestructura de personal, los mecanismos, sistemas y demás medios necesarios para la inscripción y ejecución de la orden correspondiente. La Bolsamantendrá el soporte documental necesario que sustente la inscripción y cumplimiento de las Órdenes Irrevocables.
Artículo 6.4.4.3.- Venta del subyacente del CDM. Cuando el Adquirente solicite a la Bolsa la venta del subyacente del CDM, se procederá de la siguiente forma:
Parágrafo primero.- Sin perjuicio del mecanismo de liquidación establecido, la Bolsa podrá liquidar el subyacente del CDM por fuera de su escenario de negociación, cuando así se considere conveniente.
Parágrafo segundo.- Para todos los efectos legales, se entenderá que la actuación de la Bolsa dentro del proceso de venta del subyacente del CDM, corresponde a la del administrador del sistema de compensación y liquidación de las operaciones Repo sobre CDM y por ende no será responsable por el cumplimiento de la operación ni por la idoneidad del CDM.
Parágrafo tercero.- Cuando con el proceso descrito en este artículo se logre la venta del subyacente del CDM, pero se presente incumplimiento en el pago por parte del nuevo comprador, la Bolsa iniciará nuevamente el proceso descrito en el presente artículo, por lo que a partir de la fecha del incumplimiento mencionado, iniciará nuevamente el plazo de los cinco (5) días a los que hace referencia el numeral cuarto del presente artículo.
Parágrafo cuarto.- En los casos de operaciones Repo sobre CDM que cuenten con Garantía FAG, una vez agotado el procedimiento mencionado en precedencia, y siempre que culminado el mismo no se haya logrado reintegrar al Adquirente la totalidad del Monto Final, se procederá de conformidad con lo previsto en el parágrafo quinto del artículo 6.4.4.2. de la presente Circular.
En estos casos, una vez cumplido tal procedimiento, cualquier Garantía constituida por el Enajenante incumplido que no se hubiera ejecutado, será entregada a favor de FINAGRO con el fin de garantizar la recuperación de los recursos desembolsados por el FAG.
Artículo 6.4.4.4.- Rangos de Precios para cada una de las sesiones de venta del subyacente del CDM. En el proceso que realizará la sociedad comisionista seleccionada por la Bolsa para la venta del subyacente del CDM, contenido en el artículo 6.4.4.3. de la presente Circular, se realizará bajo las reglas de la sesión de físicos.
Artículo 6.4.4.5.- Del pago del subyacente del CDM y de la liquidación al Adquirente y al Enajenante. El pago de los recursos provenientes de la venta del subyacente del CDM por parte de la nueva sociedad comisionista compradora, deberá ser realizado mediante transferencia electrónica a la Bolsa, a más tardar a las 3:00 p.m. de la fecha de pago de la operación, teniendo en cuenta que en ningún caso puede superar el quinto (5º) día hábil siguiente a la fecha del incumplimiento de la operación Repo. El día hábil siguiente a la recepción de los recursos, la Bolsa procederá a realizar la liquidación de los recursos recibidos al Adquirente.
En caso de que existan varios Adquirentes y uno de ellos participe en el proceso de compra del Activo descrito en el artículo 6.4.4.3. de la presente Circular, mediante la adquisición parcial o total de la cantidad representada en el CDM, la obligación de pago de la operación de compra se compensará con su derecho en la operación Repo. Los saldos en contra o a favor que resulten deberán ser entregados por dicho Adquirente, o liquidados por parte de la Bolsa, de acuerdo con los procedimientos establecidos. La liquidación de la operación Repo correspondiente a dicho Adquirente se realizará tomando el precio y la cantidad correspondiente a su compra; así mismo, su porción de la operación Repo se valorará tomando dicho precio de venta, hasta donde lo permita la cantidad de la compra realizada por éste.
Con el resultado de la venta del subyacente del CDM, en primer lugar se cubrirán los costos en los que se haya incurrido por la venta del subyacente, como tarifa de Bolsa, comisión de la sociedad comisionista que represente a la Bolsa en el procedimiento, costos a favor del AGD, entre otros. Posteriormente se cubrirán el Monto Final junto con los intereses que se hubieren causado desde la fecha del incumplimiento hasta la fecha de entrega de los recursos provenientes de la venta del subyacente del CDM. En caso de presentarse un remanente, la Bolsa reintegrará el saldo al Enajenante incumplido.
Artículo 6.4.4.6.- Cálculo de los Intereses causados con posterioridad a la fecha del incumplimiento. La tasa de interés aplicable por concepto del incumplimiento del pago de Monto Final será uno punto cinco veces (1.5) la tasa de Interés Bancario Corriente (Consumo y Ordinario) publicada por la Superintendencia Financiera de Colombia, descontando un (1) punto básico a la tasa efectiva anual, para el periodo en el que se causen tales intereses.
Para el cálculo correspondiente a los mencionados intereses, se deberá tomar el Monto Final de cada operación y el número de días comprendidos entre la fecha del incumplimiento y la fecha en que se realice la liquidación efectiva de la operación Repo al Adquirente, o la fecha de entrega del CDM, tomando la fecha informada por el AGD para finalizar el fraccionamiento del título, según sea el caso. El número de días se calculará con metodología base 360, cobrando como mínimo los intereses correspondientes a un (1) día.
Parágrafo.- En caso de que el Monto Final se pague de manera parcial, los intereses moratorios se generarán respecto del saldo insoluto.
Artículo 6.4.5.1.- Requisitos y controles de riesgo para la aceptación de órdenes de transferencia en el sistema de compensación y liquidación de la Bolsa, relacionadas con operaciones Repo sobre CDM. Sólo serán aceptadas por la Bolsa las órdenes de transferencia que se desprendan de operaciones Repo sobre CDM que cumplan con la totalidad de los requisitos y controles establecidos en el artículo 6.2.2.5 del Reglamento.
De conformidad con lo anterior, para hacer viable el cumplimiento de lo previsto en el numeral 1.1 de dicho artículo, cuando la sociedad comisionista que pretenda actuar como Enajenante de determinado CDM en el escenario de negociación administrado por la Bolsa, deberá previamente verificar que dicho título cumpla con la totalidad de los requisitos establecidos por la legislación vigente, así como aquellos contenidos en el Reglamento, la presente Circular y demás disposiciones que hubieren sido publicadas por la Bolsa.
Artículo 6.4.5.2.- Fechas de Cumplimiento. El sistema de compensación y liquidación mostrará, en el Día de Cumplimiento Inicial y el Día de Cumplimiento Final, las obligaciones netas a cargo o a favor de cada sociedad comisionista miembro interviniente en la operación Repo sobre CDM, las cuales deberán ser liquidadas en el horario dispuesto para el efecto por la Bolsa.
Los incumplimientos de operaciones así como la liquidación anticipada de las mismas, pueden generar cambios en el saldo de efectivo a favor o en contra de las sociedades comisionistas miembros que intervienen en la operación Repo sobre CDM. En caso de que esto ocurra, las sociedades comisionistas miembros intervinientes deben estar en capacidad de efectuar el pago del nuevo valor registrado, en el mismo día y dentro de los horarios establecidos, y en ningún caso podrán alegar el cambio en la compensación para eximirse de su responsabilidad. Dichos cambios serán informados por la Bolsa a través mensaje de correo electrónico.
Artículo 6.4.5.3.- Pago del Monto Inicial y del Monto Final. El cumplimiento de las obligaciones de giro de recursos que se desprendan de la operación Repo sobre CDM, se realizará a través de transferencias electrónicas, salvo lo expuesto en el parágrafo del artículo 6.2.1.2. de la presente Circular. En todo caso, los recursos serán girados a la cuenta de liquidación de la Bolsa, partir de la cual serán entregados a quien corresponda.
El Monto Inicial, correspondiente al valor monetario que el Adquirente entregará al Enajenante de acuerdo con lo dispuesto en el artículo 3.8.2.2.1. del Reglamento, deberá ser entregado dentro del plazo pactado por las partes en la rueda, el cual no podrá ser superior a cinco (5) días hábiles siguientes a la celebración de la operación respectiva.
El Monto Final será entregado por el Enajenante en la fecha que se acuerde al momento de celebrar la operación Repo.
Artículo 6.4.5.4.- Cumplimiento de la obligación de transferencia del CDM. El cumplimiento de la obligación de transferencia del CDM se realizará a través del sistema de compensación y liquidación administrado por la Bolsa, teniendo en cuenta el mecanismo que corresponda de conformidad con lo previsto en el artículo 6.2.2.5. del Reglamento.
Parágrafo.- El CDM objeto de determinada operación será endosado a favor del comitente Enajenante, sólo en los eventos en los que se haya confirmado el pleno cumplimiento de la operación, esto es, una vez haya ingresado efectivamente el Monto Final al sistema de compensación y liquidación de la Bolsa.
En el evento de que la operación cuente con Garantía FAG, la Bolsa, una vez cumplida la operación, dentro del día hábil siguiente a la fecha de cumplimiento, deberá informar a FINAGRO con el fin de que proceda a cancelar el certificado de garantía FAG. Así mismo, si el cumplimiento total de la operación implicó la ejecución de la Garantía FAG, el CDM objeto de la misma solo será endosado a favor del comitente Enajenante cuando se haya cumplido la obligación de reembolsar a FINAGRO los recursos desembolsados por el FAG.
Artículo 6.4.5.5.- Incumplimiento de la operación Repo. Las causales de incumplimiento de las operaciones Repo sobre CDM y el procedimiento a seguir se describen en los artículos 3.8.2.5.1. y 6.5.2.2.2. del Reglamento y en el Capítulo Cuarto del Título Cuarto del Libro Sexto de la presente Circular.
Artículo 6.4.5.6.- Actuación del sistema de compensación y liquidación en las operaciones Repo sobre CDM. La Bolsa únicamente aceptará órdenes de trasferencias para operaciones Repo sobre CDM sin Interposición de contraparte.
Artículo 6.4.6.1.- Régimen de transición de las modificaciones introducidas a través de la Circular No. 2 de 2016 con ocasión de la reforma reglamentaria divulgada mediante Boletín Normativo No. 2 de 2016. Las operaciones realizadas con anterioridad a la entrada en vigencia de la modificación reglamentaria autorizada a través de Resolución No. 1818 de 2015 de la Superintendencia Financiera de Colombia y divulgada a través de Boletín Normativo No. 2 de 2016 y de la Circular No. 2 de 2016, se regirán en su totalidad por las normas vigentes para el momento de su celebración.